检验糖醇钙的方法有哪些?

奥普乐农业2025-11-20 13:5749 阅读18 赞

1、糖醇钙和丙环唑能混合?

2. 混合操作要点 •酸碱度测试:糖醇钙通常呈弱酸性至中性,丙环唑则多为中性或弱碱性制剂。建议混合前先用少量原液测试,若出现浑浊、沉淀则不可混用。 •配制顺序:若两者相容,建议先在喷雾罐中加清水至1/3容量→加入糖醇钙→二次稀释丙环唑后加入→补足水量。避免直接混合高浓度原液...

糖醇钙和丙环唑能混合?

2、哪种叶面用的钙肥吸收好

叶面用的钙肥中,糖醇钙、氨基酸钙以及果蔬钙肥等制剂化钙肥吸收效果较好。以下是对这些钙肥的详细解析:1. 糖醇钙 特性:糖醇钙是一种水溶性钙肥,其独特的糖醇分子结构能与钙离子结合,形成稳定的化合物,从而提高钙的吸收利用率。优势:糖醇钙不仅易于被作物叶片吸收,还能减少钙在运输过程中的损失,确...

3、单一元素水溶肥料糖醇钙

使用方法:糖醇钙的使用方法通常为叶面喷施。叶面喷施是一种直接将肥料喷洒在植物叶片上的施肥方式,具有吸收快、效率高的优点。在使用时,要注意按照产品说明的浓度进行稀释,避免浓度过高造成肥害。同时,还要注意喷施的时机和频率,以确保糖醇钙能够充分发挥其作用。注意事项:在使用糖醇钙时,要注意与其他...

4、单一元素水溶肥料糖醇钙

使用方法:糖醇钙肥料的使用方法通常为叶面喷施。叶面喷施是一种直接将肥料溶液喷洒在植物叶片上的施肥方式,具有吸收快、利用率高的优点。在使用时,要注意按照产品说明的浓度进行稀释,避免浓度过高造成肥害。同时,也要根据作物的生长情况和气候条件等因素,合理调整施肥频率和施肥量。综上所述,单一元素...

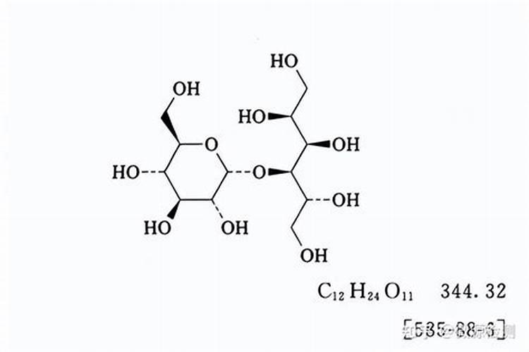
5、糖醇钙是什么

看螯合的不,要看糖醇钙的冰点。糖醇钙与螯合钙区别钙元素吸收原理植物对钙元素的需求必不可少,钙元素是通过根尖进入植物体内被吸收利用,而且在运输方式上以蒸腾作用方式运输,移动速度慢,这也是为什么作物容易缺钙的原因,简单的说就是供少于求。糖醇钙糖醇钙其实就是糖醇类物质和钙元素肥的混合,与...

糖醇钙是什么

糖醇钙能喷施花生补钙吗

糖醇钙可以用于花生叶面喷施补钙,且效果较好,但需注意喷施时间和方法。针对花生喷施糖醇钙的需求,需关注钙元素对花生生长的作用特点。花生结果期需钙量约占全生育期90%,此时果针下扎遇土壤缺钙时,叶面补钙可直接通过茎叶输送至荚果。糖醇钙作为螯合钙,具有较好的叶片附着性和吸收率,因此是较优选择...

糖醇钙喷后西红柿多久采摘

喷施糖醇钙后,西红柿通常可在7-10天完成钙元素吸收,但具体采摘时间需结合果实成熟度判断。考虑到钙肥的吸收与转化周期,以及果实生长阶段差异,实际操作中需分情况处理:1.吸收效率:糖醇钙作为螯合钙肥料,其独特的小分子结构可实现72小时内叶面快速吸收,相较于传统钙肥提速50%以上。但钙元素从叶片转移...

巨峰葡萄转色前喷糖醇钙好吗

4.喷洒方法与注意事项 采用雾化效果好的喷头,确保药液均匀覆盖果穗。需注意三点: - 不与碱性农药(如波尔多液)或含硫制剂混用 - 现配现用,久置后糖醇结构可能分解失效 - 干旱天气需先浇水再喷施,避免树体吸收障碍 葡萄转色期间同步控制土壤水分更有利于钙吸收,建议将土壤相对含水量维持在...

哪种叶面用的钙肥吸收好

叶面用的钙肥中,糖醇钙、氨基酸钙、果蔬钙肥等吸收较好。以下是这些钙肥的一些特点:糖醇钙:糖醇是一种优秀的有机载体,可以通过木质部和韧皮部双向运输,因此糖醇钙可以迅速被叶片吸收并传导至作物的其他部分。氨基酸钙:氨基酸是构成蛋白质的基本单位,易于被植物吸收利用。氨基酸钙结合了氨基酸和钙元素...

哪种叶面用的钙肥吸收好

糖醇钙:糖醇是一种优质的有机载体,可以提高钙肥在叶片上的渗透性和吸收效率。糖醇钙不仅能够快速被作物吸收利用,还能够减少钙在叶片表面的流失,提高钙肥的利用率。氨基酸钙:氨基酸是作物生长所需的重要营养物质之一,与钙结合后形成的氨基酸钙具有更好的溶解性和吸收性。氨基酸钙不仅能够补充作物所需的...

热点